Home
Group News
About PI
Teaching
Publications
Members
Alumni
Gallery
Contact
Check Out Some of Our Latest Exciting Projects
2026
/
2025
/
2024
/
2023
/
2022
/
2021
/
2020
/
2019
/
2018
/
2017
/
2016
/
2014
/
2013
/
2012
/
2009
/
2007
/
2006
/
2005
/
2004
/
2003
/
2002
Publications
2005
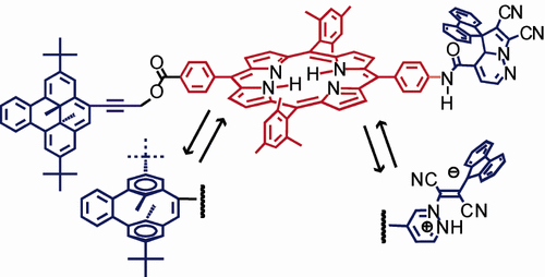
8. Molecular AND and INHIBIT Gates Based on Control of Porphyrin Fluorescence by Photochromes.
Stephen D. Straight
,
Joakim Andréasson
,
Gerdenis Kodis
,
Subhajit Bandyopadhyay
,
Reginald H. Mitchell
,
Thomas A. Moore
,
Ana L. Moore
and
Devens Gust
Journal of the American Chemical Society, 2005
View Online
7. 13-Methyl-2,6-dithia[7]metacyclophane: A Useful Molecule To Connect VT NMR Results and Structure with Calculations
Reginald H. Mitchell
,
Rachel Blunden
,
Gavin Hollett
,
Subhajit Bandyopadhyay
,
Richard Vaughan Williams
and
Brendan Twamley
Journal of Organic Chemistry, 2005
View Online