Home
Group News
About PI
Teaching
Publications
Members
Alumni
Gallery
Contact
Check Out Some of Our Latest Exciting Projects
2026
/
2025
/
2024
/
2023
/
2022
/
2021
/
2020
/
2019
/
2018
/
2017
/
2016
/
2014
/
2013
/
2012
/
2009
/
2007
/
2006
/
2005
/
2004
/
2003
/
2002
Publications
2012
21. Histidine Based Fluorescence Sensor Detects Hg2+ in Solution, Paper Strips, and in Cells
Joydev Hatai
,
Suman Pal
,
Gregor P. Jose
and
Subhajit Bandyopadhyay
Inorganic Chemistry , 2012
View Online
20. An inorganic phosphate (Pi) sensor triggers ‘turn-on’ fluorescence response by removal of a Cu2+ ion from a Cu2+-ligand sensor: determination of Pi in biological samples
Joydev Hatai
,
Suman Pal
and
Subhajit Bandyopadhyay
Tetrahedron Letters , 2012
View Online
19. A single molecule multi analyte chemosensor differentiates among Zn2+, Pb2+ and Hg2+: modulation of selectivity by tuning of solvents†‡
Joydev Hatai
,
Suman Pal
,
Gregor P. Jose
,
Tapas Sengupta
and
Subhajit Bandyopadhyay
RSC Advances , 2012
View Online
18. Fluorescent detection of silver ions in water with organic nano-aggregates†
Joydev Hatai
,
Suman Pal
and
Subhajit Bandyopadhyay
RSC Advances , 2012
View Online
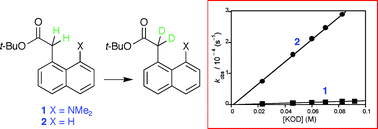
17. peri-Dimethylamino substituent effects on proton transfer at carbon in α-naphthylacetateesters: a model for mandelate racemase†
Richard J. Delley
,
Subhajit Bandyopadhyay
,
Mark A. Fox
,
Constanze Schliehe
,
David R. W. Hodgson
,
Florian Hollfelder
,
Anthony J. Kirby
and
AnnMarie C. O'Donoghue
Organic Biomolecular Chemistry , 2012
View Online